 |
|
|
|
|
|
|
|
|
|
|
|
|
|
 |
|
|
|
Address:9# Xinghuo Road, Fengtai Science Town Garden, Beijing, P.R.C. |
|
| Postcode:100192 |
|
| Contactor:Mr.Yang |
|
| Tel:0086-10-82437396 |
|
| Fax:0086-10-82437396 |
|
| Mobile:15611494821 |
|
| EMail:bjyrhz1561@163.com |
|
|
|
|
|
 |
|
|
|
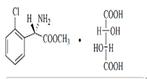
| (S)-(+)-Tartrate of methyl –α-amino(2-chlorophenyl) acetate | | Name | (S)-(+)-Tartrate of methyl –α-amino(2-chlorophenyl) acetate | | Alias | 右旋鄰氯苯甘氨酸甲酯酒石酸鹽 | | Category | Medicine and interme | CAS NO | 141109-15-1 | | Molecular | C13H16ClNO8 | Molecular Weight | 349.72 | | Product Picture | Structure | 品圖.jpg) | 141109-15-1.png) | | Description | Structure:C13H16ClNO8
FW:349.72
CAS: 141109-15-1
HPLC:98%
H2O:<0.5%
[α]D = + 87-88° (C=1,MeOH)
|
|
|
|
|